Length Node | Shader Graph | 7.1.8
docs.unity.cn
    Show / Hide Table of Contents

    Length Node

    Description

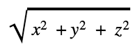
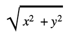
    Returns the length of input In. This is also known as magnitude. A vector's length is calculated with Pythagorean Theorum.

    The length of a Vector 2 can be calculated as:

    Where x and y are the components of the input vector. Length can be calculated for other dimension vectors by adding or removing components.

    And so on.

    Ports

    Name Direction Type Description
    In Input Dynamic Vector Input value
    Out Output Vector 1 Output value

    Generated Code Example

    The following example code represents one possible outcome of this node.

    void Unity_Length_float4(float4 In, out float Out)
    {
        Out = length(In);
    }
    
    Back to top Copyright © 2020 Unity Technologies
    Generated by DocFX